RECTIFICADOR TRIFÁSICA MEDIA ONDA CONTROLADA
- DEFINICIÓN :
Este tipo de rectificador permite variar el voltaje promedio de salida, empleando para su funcionamiento tiristores de potencia con los cuales se puede variar el ángulo de disparo y por ende la potencia entregada a la carga. Los tiristores se disparan a un intervalo de π/3. La frecuencia del rizo de voltaje en la salida es seis veces la frecuencia de la fuente de entrada (6fs), y el filtrado resulta menos complejo en comparación con el de los convertidores de media onda ya que este presenta menos rizo en el voltaje de salida.
Cuando wt=(π/6+α), el tiristor T6 ya está conduciendo, y el tiristor TI se activa. Durante el intervalo (π/6+α) ≤ wt ≤ (π/2+α), los tiristores TI y T6 conducen y aparece el voltaje de línea a línea Vab = Van – Vbn a través de la carga. Cuando wt =(π/2+α), se dispara el tiristor T2 y de inmediato el tiristor T6 se polariza en sentido inverso. T6 se desactiva por conmutación natural. Durante el intervalo (π/2+α)≤ wt ≤(5π/6+α) conducen los tiristores TI y T2 Y aparece el voltaje de línea a línea Vac a través de la carga. Si se numeran los tiristores como se indica en la figura del circuito rectificador trifásico controlado, la secuencia de disparo es 1-2,2-3,3-4,4-5,5-6 y 6-1.
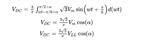
El voltaje promedio de salida se puede determinar mediante:

Donde α es el ángulo de disparo
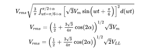
El valor rms del voltaje de salida está dado por:

- Secuencia de disparo :
La secuencia de disparo es la siguiente:
- Generar un pulso de señal en el cruce del voltaje de fase Van con cero. Retardar el pulso en el ángulo deseado (α + π/6) y aplicarlo a las terminales de compuerta y cátodo de T1 a través de un circuito excitador de compuerta.
- Generar cinco pulsos más, cada uno retardado π/6 respecto al anterior, para disparar T2, T3,…, T6, respectivamente, mediante circuitos excitadores de compuerta
Rectificador trifásico de doce pulsos :
Un puente trifásico produce un voltaje de salida de seis pulsos. Para aplicaciones con grandes potencias, como por ejemplo transmisión de CC de alto voltaje (HVDC), y para impulsores de CC para motores, se requiere en general una salida de doce pulsos para reducir los rizos en la salida, y para aumentar las frecuencias de los mismos. Se pueden combinar dos puentes de seis pulsos, sea en serie o en paralelo, para producir una salida con 12 pulsos efectivos. Para el circuito del convertidor se puede obtener un desplazamiento de fase de 30° entre los devanados secundarios, conectando un secundario en estrella (Y) y el otro en delta (Δ). Con este rectificador se puede llevar a cabo una reducción mayor de armónicos de salida, que en un rectificador de 6 pulsos. Mediante una conexión en serie la tensión total de salida es la suma de las salidas de los dos puentes de seis pulsos. Los ángulos de disparo de los puentes suelen ser iguales.

Armónicos
La siguiente serie de Fourier representa las corrientes de las líneas de alterna que alimenta el transformador Y –Y
La siguiente serie de Fourier representa las corrientes de las líneas de alterna que alimenta al transformador Y – Δ
Las series de Fourier de las dos corrientes son similares, aunque algunos términos son de signos opuestos. La siguiente es la serie de Fourier de la corriente del sistema de alterna, que es la suma de dichas corrientes del transformador.
Por lo tanto algunos de los armónicos de la parte alterna se anulan utilizando el esquema de doce pulsos en lugar del esquema de seis pulsos. Los armónicos que permanecerán en el sistema de alterna son de orden 12k ± 1. al utilizar esta configuración de transformador y convertidor se ha producido la anulación de los armónicos de orden 6(2n– 1) ± 1.
Ventajas
Entre las ventajas que presenta el rectificador de doce pulsos con respecto al convertidor de seis pulsos tenemos:
- Tiene un total de 12 transiciones para cada periodo del generador de alterna, dado que se produce una transición entre los tiristores en conducción cada 30º.
- La salida presenta frecuencias armónicas que son múltiplos de doce veces la frecuencia del generador (12k, k = 1, 2, 3…).
- El filtrado necesario para generar una salida de corriente continua, relativamente pura, es menos costoso que el necesario para el rectificador de seis pulsos
Consisten en conectar un diodo a la salida de cada arrollamiento, que se unirán en un punto común que después alimentará a la resistencia o carga del circuito. El retorno de la corriente se realiza a través de la línea de neutro. La imagen inferior nos aclara esta explicación.

Es evidente que el arrollamiento secundario está dispuesto en estrella y que de la unión común de las tres bobinas se saca la línea de neutro. Además, tal y como indica la imagen, cada bobina tendrá, con respecto a neutro, las tensiones V1, V2 y V3 respectivamente, que se producirán desfasadas 120º.

Las tensiones V1, V2 y V3 están representadas en la gráfica, por las ondas roja, verde y azul. Pero en realidad, al haber colocado un diodo a cada salida, el semiciclo negativo de cada onda quedará suprimido, es decir, que la tensión que le llegue a la carga será la línea ondulada de color gris.

podemos observar que cada bobina alimentará la carga durante 1/3 del periodo y cada diodo estará conduciendo durante tanto tiempo como la corriente de su bobina sea superior que la de las demás. La línea de trazos de la imagen representa la duración de un ciclo, tal y como puede observarse. Como la corriente de alimentación de la carga la aportan tres bobinas en cada ciclo, esta será más continua.